最美数学公式 欧拉公式 和 泰勒展开式 - 微积分应用
最美数学公式 欧拉公式 和 泰勒展开式 - 微积分应用
我们在另一篇文章中同样介绍过,被称作最美数学公式的欧拉公式:

欧拉公式
本文用泰勒展开式(麦克劳林公式)来加以证明。
简单介绍一下泰勒展开式,它使用幂函数的线性组合来逼近/近似函数。
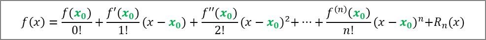
泰勒展开式的一般形式如下:

泰勒展开式
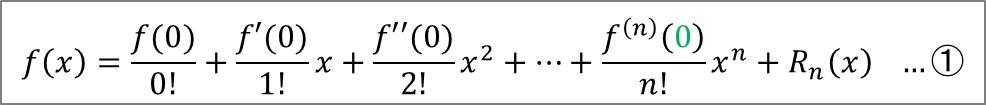
泰勒展开式在x=0处的展开式,被称作麦克劳林公式,如下:

麦克劳林公式
*关于泰勒展开式或者麦克劳林公式,本文不做特别说明,后期有机会专门写一篇文章来介绍。
欧拉公式:

等式左右联系了3个函数,分别对其计算1-5阶导数,结果如下:

对3个函数求导数
分别代入麦克劳林公式,
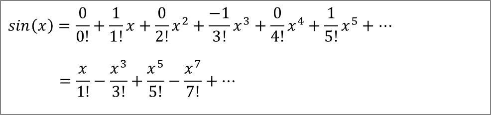
正弦函数 sinx 的麦克劳林公式:

正弦函数的麦克劳林公式

红色为 sinx 的函数图,蓝色为泰勒逼近(逼近到x的9次方),
可以看出,x在[-3, 3]区间内,红色和蓝色几乎重合,也就是说,在此区间内,计算到

就可以得到非常精确的正弦函数值。
如果需要计算x在[-3, 3]之外的区间,多逼近几次就可以得到所需要的精度。
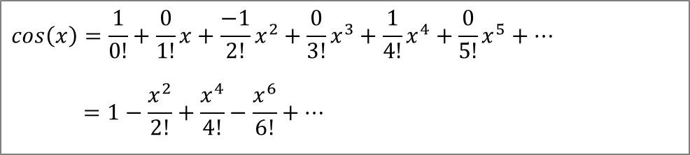
余弦函数 cosx 的麦克劳林公式:

余弦函数的麦克劳林公式

e的指数函数 的麦克劳林公式:


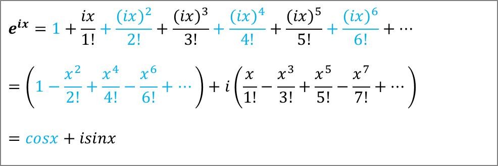
下面利用上面3个函数的麦克劳林公式,来证明欧拉公式:




得到如下欧拉公式:

特别,当x=π时,有:







