sin180度等于多少
sin180度等于多少
sin180度等于多少
2007年,张景中院士在宁波的“数学教育高级研讨班”的演讲中提到,“正弦可以定义为角度为α的单位菱形的面积"。
我听了之后,很受感动。一位科学院院士,关注中小学教育,而且提出了很有创意的建议。我们在基层工作,应该有所呼应,于是萌发了进行一次教学实验的构想。2007年年底,我与一位有经验的数学教师一起,在宁波一所普通初级中学的初一年级的一个普通班级上了一堂“角的正弦”的实验课。初步结果显示,学生可以懂。三角和面积相联系,比起直角三角形的“对边比斜边”定义更直观,更容易把握。当然,一节课只是初步尝试,有待进一步探究。
一、教学设计
本节课的教学目标,我们认为有以下三点:
1. 利用“面积”过渡,了解正弦概念,初步理解正弦涵义;
2. 利用“折扣”这个直观的前概念探究三角形的面积、边、角与正弦的联系;
3. 探究正弦的基本性质,并能做简单的运用。
本节课教学主要分两阶段展开,第一阶段为认识正弦:主要解决用单位菱形面积去定义正弦,即用“面积”这个形象的前概念去帮助理解正弦概念;第二阶段为探究正弦:借用"折扣”这个直观的前概念,解决三角形的面积、边、角与正弦的关系及正弦的基本性质。最后通过课堂练习,巩固对正弦的理解,拓展学生知识运用的视野。为了使课堂更为活跃,探究性更强,我们着重在几何图形的面积变化(用数学软件几何画板)、折扣与正弦的联系上做探究。
下面是这节课的教学片段。
【片段一:认识正弦】
“正弦这个名字是什么意义,先请大家观察一个单位正方形。”上课一开始执教老师就在屏幕上打出一个单位正方形(如图1).

师:(指着图1)正方形的每个角是几度,面积怎么计算?
生:(齐声回答)90°,面积是边长的平方1²=1.
师:(利用几何画板动画功能,将正方形的一个角A慢慢地进行变动)好!现在我让一个角A变动一下,面积会变吗?面积变化与什么有关?(见图2).

生:(肯定的)会变,与角度有关!
师:对!面积变化与角A的变化有关!我们具体看一下,当角A为30°时这个面积为多少呢?(略作停顿)为了解决这个问题,今天我们先引进一个新的数学符号:sinα,叫做角α的正弦,它表示边长为1,一个内角A为α度的菱形ABCD的面积。
生:(思考,一下子没有回答)
师:大家可能不好理解,关键是什么呢?(略作停顿)原因是我们暂时还不知道这个菱形面积是多少。
师:好在我们可以让计算器帮忙,它有这个功能。请同学们拿出计算器,我们一起来计算sin30°,请同学们先按键sin,再按30,结果是多少?
生:(纷纷回答)1/2.
师:对,sin30°=1/2,它表示边长为1、一个角A为30°的菱形面积是1/2。现在我们是不是可以用刚才引入符号来表示讨论的结果呢?
生:(陆续回答)sin30°=1/2.
师:(板书:sin30°=1/2)好!现在我们把这个菱形面积记作 s,这个面积s应该是……?
生:(齐声)s=sin30°=1/2.
师:我们再来看一个正方形(图3),它由9个单位正方形构成,它的面积S为多少呢?

生:(不假思索)S=9.
师:(因势利导)那么,我们改变角A的度数,如图4,角A所在的一个小菱形的面积为多少?

一女生:sinA.
师:好!好!(教师连连称赞)那么,菱形ABCD面积又是多少?
生:(全体齐声)9sinA.
师:(乘势深入)好!如果把边长为3一个内角为α的菱形面积记为s,s为多少?
生:(似乎找到了初步的规律,兴奋地)
s= 9sinα. (1)
师:太好了!请同学们写出表达式
生:(学生回答教师板书)S(菱形)=9sinα.
师:对!这样我们可以得出什么结论呢?(学生边回答,教师边板书:设边长为a的正方形面积为S,边长为a、一个内角为α的菱形面积为s,那么s/S=sinα).
师:(引申)那么,这个结论对长方形是不是成立呢?如图5,一个一边长为3,另一边长为5的长方形图形的面积S为多少?若将角A变成α度,则所得菱形(图6)的面积s又是多少呢?

图5

图6
生:(很快)
S(长方形)=15;s(菱形)=15sinα. (2)
帅:(赞许地)好!这样找们就可以得出这样一个维结论:设边长分别为a和b的长方形面积为S,边长为a和b、一个内角为α的平行四边形面积为s,那么s/S=sinα,其中,S是边长分别为a和b的长方形面积。
......
通过上面的讨论,学生对正弦的概念开始有了一个初步的认识,在这个过程中,“面积”概念的过渡性引入使正弦这个抽象的数学符号有了直观的模型。
【片段二:正弦再理解】
正弦的概念引入后,教师稍作巩固,并以此构建理解的第一个台阶,就开始了从特殊值到一般值的教学推进,希望能与学生一起寻找并发现帮助全面理解并掌握正弦涵义的桥梁。
师:我们继续研究边长为1的正方形(图1)。通过刚才的讨论,我们已经知道当角A发生变化时(图2),面积就会发生改变,而且这个改变可以用sinα表示,为了进一步理解sinα,我们先来打个比方,比如买一件商品,原来价格100元,现在打折,只要80元就够了,问这件商品打了几折?
生:打8折。
师:对!再回到刚才对sinα的讨论。大家看,当角A为a时,我们可以用sinα表示它的面积。具体地说,当α=30°时, sinα=1/2,S(菱形)=1/2。我们是否可以认为菱形面积是正方形的面积打了5折后得到的?在这里sin30°相当于一个折扣。
生:(没有马上回答,似乎在思索着什么)……
师:大家再用计算器来计算一下,当α=60°时,菱形的面积是多少呢?
生:0.866.
师:对!因此,我们是不是同样可以认为:一个边长为1,一个角α=60°的菱形面积是由单位正方形的面积约打了八六折得到的?就是:s(菱形)=sin60°=0.866.
生:(似有所悟)可以这样说。
师:(乘势引导)也就是说,在一般情形下,当角A为α时,菱形的面积S(菱形)=sinα可以怎样理解?
生:折扣是sinα!
师:(继续引导)好!我们再来看边长为a=3的正方形,如图3和4,当角A为α时面积的折扣是多少?原来面积是9,现在面积应该是多少?
生:折扣是sinα,现在面积是9sina!
师:对!在这种情形下,sinα还是一个折扣。当α=30°时,菱形面积=9sin30°。面积打五折了,同样当α=60°时,面积就约打八六折。根据上面的讨论结果,我们是不是可以这样认为:平行四边形的面积就是长方形面积打sinα折后得到的?
生:对!
师:我们是不是可以进一步认为,无论是单位正方形、一般正方形,还是长方形,只要它的一个角改变成α,它的面积就打折扣了,这个折扣就是sinα.
生:(略作思考,齐声)对!
至此,学生对正弦的概念有了一个较为完整的理解。在这个过程中,如果说“面积”这个过渡性的概念的引入使学生对“正弦”概念有了空间意义上的认识,那么,另一个过渡性概念“折扣”则使学生开始有了代数意义的初步思考。
二、“菱形面积定义正弦”教学效果的形成性检验
为了检验教学效果,我们在教学过程中穿插安排了教学效果的形成性检验。
(一)教师引导下的练习。检验方法:例题分析;检验目的,①巩固已学概念;②适当引申,并归纳出正弦性质;③为后续学习做好铺垫。
【片段三:探究正弦性质】
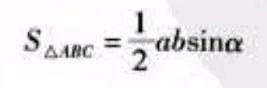
【例】一个边长分别为a和b的 长方形ABCD(图7),改变角B,使它成为一个内角为B=α的平行四边形ABCD,那么平行四边形ABCD的 面积是多少?

师:哪位同学能回答?
生:(争先恐后)长方形ABCD面积ab打一个sinα折扣。 S(平行四边形)=absinα.
师:好!两边分别为a和b夹角为α的三角形面积是多少?(图8)

生:(一下子没有回答).
师:我们一起讨论,在图7中连接AC,就把平行四边形 ABCD分成两个三角形,那么三角形ABC的面积是平行四边形ABCD面积的……
生:(似乎豁然开朗,半数左右学生齐声)一半!
师:好!(板书):
S(△ABC)=1/2absinα.

师:(出示图1和2)当A角为0°,180°,90°时,它们的面积各为多少?
生:(讨论)它们的面积分别为0,0,1.
师:我们把这个结论写在黑板上(板书):
(1)sin0°=sin180°=0;
(2)sin90°=1;
(3)sinα=sin(180°-α);
(4)当α为锐角时,α越大sinα就越大。
从例题解决的情形看,学生们已经很好地掌握了通过“面积”、“折扣”引出的正弦概念,而且,通过面积、折扣容易地得出了正弦的基本性质,尤为重要的是,公式
S(△ABC)=1/2absinα

的得出,为三角、几何和代数后续学习做好了重要的铺垫。
(二)课堂练习检验。检验方式:学生独立完成课堂练习,教师针对性分析。目的:①进一步巩固;②发现知识掌握的不足;③为整体理解找帮助。
【练习一】
1. 用计算器求值
(1)sin30°,(2)sin45°,(3)sin60°,(4)sin120°
2. 边长分别为2和4,一个内角为30°的平行四边形ABCD的面积是_______.
3. 两边分别为6和5,夹角为45°的三角形面积是_______.
4.在括号内写出和左端不同的角的度数,使等式成立。
sin40°=sin( ) ,sin170°=sin( ).
绝大多数学生都在几分钟内顺利完成,而且回答得很准确。
在检查了学生课堂练习后,教师乘势作了新的引申:
【片段四:正弦再认识】
师:请同学们继续研究平行四边形的面积(图9),点B到 AC的距离是多少?

生:线段BA.
师:对,那么在图10中,点B到AD的距离是多少呢?

生:(很多学生齐声)BC
师:(继续追问)长方形ABCD面积为多少?
生:BA×AC.
师:那么平行四边形ABED面积是多少呢?
生:BC×AD.
师:(继续分析)我们知道从长方形(图9)变为平行四边形(图10),面积打的折扣就是sinA。而平行四边形的面积为底乘高,当长方形ABCD的角A发生变化,长方形(图9)变为平行四边形(图10)时,它的底有没有变化?
生:(齐声)没有!
师:那么到底是谁打了折扣呢?
生:高!
师:对!就是这个高打了折扣,所以面积变化是由高的变化所引起的,其实就是高打了sinA折,即BC=BA×sinA.
师:(继续启发)根据小学学过的折扣的知识,BC是由BA打sinA折得到,那么sinA又可以怎样表示?
生:sinA=BC/BA.
师:(指着图10)同学们,在直角ΔABC中看,角A的正弦与边的关系是……?
生:sinA是角A的对边与斜边的比。
然后,教师又让学生拿出含有30°角的三角板,通过度量30°角所对的直角边与斜边长度,验证
sin30°=对边/斜边=1/2

于是师生共同得出结论四:在直角三角形ABC中,一个锐角A的正弦等于这个角的对边与斜边之比。
【练习二】
1. 如图1,ΔABC中∠C=90°,BC=6,sinA=0.6,求AB的长。

2. 在第1题中如果AC=8,求sinB.
3. 比较大小
(1)sin30° _______ sin80°
(2)sin100° _______sin140°
4.两块同样的三角板如图2放置,则黑色部分的面积是否相等?为什么?

从练习二的情况看,多数学生对前3个练习解答都比较顺利,对第4小题,尽管有个别同学能够写出答案,不少同学仍感到困难。但他们在教师的启发、引导下,大多数学生还是很快弄明白,课堂练习顺利完成。
(三)课后了解。目的:了解学生学习兴趣。进一步巩固学习的信心。
下课后,我就近问旁边的同学“正弦是什么?”几个学生抢着说“正弦就是打折”,我又问“今天老师讲的内容能听懂吗?”他们一起回答说“懂”。
三、教学反思
分析“重建三角”的教学过程,结合穿插在教学过程中形成性检验的结果分析,我们可以得出:
1. 用直观的“面积”、“折扣”引入较为抽象的“正弦"概念,能降低教学台阶,学生掌握新概念比较顺利。而且由于抽象概念的形象描述,克服了以往正弦概念教学中从抽象到抽象的弊端。
2. 以“面积”、“折扣”为过渡性概念作铺垫,教学引申比较顺利,变式训练的难度大大降低。学生在学习过程中始终保持浓厚的 兴趣,对后续学习产生了强烈的期待,学习的动力被进一步激发。
3. 从数学思维的培养角度分析,“面积”的引入拓展了学生对正弦概念的“形”的思考,而“折扣”的引入又启动了学生的“数”的思维。这种全新的课程逻辑体系将有利于学生“数、形”融合,使后续学习的思维空间得到整体的拓展,防止数学整体思维的人为割裂。
综上所述,“面积”和“折扣”并不是本节课教学的目标性概念,而是一个有用的、为引入和理解正弦涵义的形象的过渡性概念。"面积”、“折扣”的引入不但有利于降低学习的台阶、降低教学的难度,更为重要的是,通过这两个过渡性概念的引入,在三角、几何、代数间搭建了一个互相联系的思维通道。我们希望,这一尝试能为“重建三角"的教学探索提供一个教学案例。
作者:
(宁波教育学院 崔雪芳)
参考文献
张景中.2006.重建三角,全盘皆活——初中数学课程结构性改革的的一个建议.数学教学,(10):封二~4
张奠宙.2006.让我们来重新认识三角——兼谈数学教育要在数学上下功夫.数学教学,(10):5~10






























