如何通俗地解释泰勒公式?
如何通俗地解释泰勒公式?

泰勒公式是微分学成就的顶峰,在数学和应用中有着强大的威力,泰勒公式一句话描述:就是用多项式函数去逼近光滑函数。


1.多项式的函数图像特点



可以看到,幂函数其实只有两种形态,一种是关于 轴对称,一种是关于原点对称,并且指数越大,增长速度越大。
那幂函数组成的多项式函数有什么特点呢?

怎么才能让 和 的图像特性能结合起来呢?

通过改变系数,多项式可以像铁丝一样弯成任意的函数曲线。送你一颗心(虽然是隐函数,意思一下):

2.多项式对e^x的逼近




3.用多项式对sin(x)进行逼近
sin(x)是周期函数,有非常多的弯曲,难以想象可以用多项式进行逼近。


4. 泰勒公式与拉格朗日中值定理的关系

数学定义的文字描述总是非常严格、拗口,我们来看下拉格朗日中值定理的几何意义:



当N=0 的时候,泰勒公式几何意义很好理解,那么N=1,2,…呢?
这个问题我是这么理解的:首先让我们去想象高阶导数的几何意义,一阶是斜率,二阶是曲率,三阶四阶已经没有明显的几何意义了,或许,高阶导数的几何意义不是在三维空间里面呈现的,穿过更高维的时空才能俯视它的含义。现在的我们只是通过代数证明,发现了高维投射到我们平面上的秘密。
还可以这么来思考泰勒公式,泰勒公式让我们可以通过一个点来窥视整个函数的发展,为什么呢?因为点的发展趋势蕴含在导数之中,而导数的发展趋势蕴含在二阶导数之中......四不四很有道理啊?
5. 泰勒公式是怎么推导的?
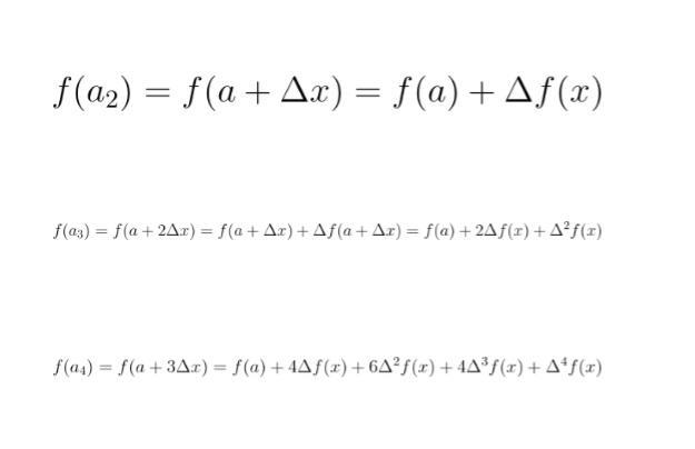
根据“以直代曲、化整为零”的数学思想,产生了泰勒公式。



也就是说,f(x)全部可以由a 和 △X 决定,这个就是泰勒公式提出的基本思想。据此的思想,加上极限△X→0 ,就可以推出泰勒公式。
6.泰勒公式的用处






























